Microwave Engineering
HW-02 Solutions
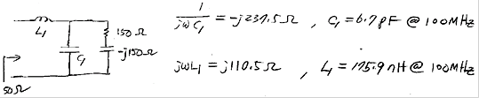
3.1 For
a load impedance ZL = 150–j150 ¥Ø, design an LC matching network that transforms ZL to 50 ¥Ø.
(Answer)
Use
Smith 4.0 or do it by hand

Solution
1:


Solution
2:

3.2 For
a load impedance ZL = 150–j150 ¥Ø, design a single stub (use a short
or open transmission line for the stub) matching network that transforms ZL to 50 ¥Ø.
(Answer)
Use
Smith v4.0 or do it by hand.
Solution
1:

Solution
2:

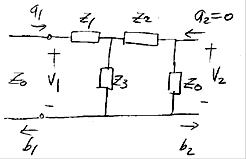
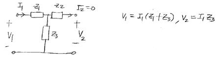
3.2 Find
the scattering matrix of the following circuit.

Figure: T-network
(Answer)




Change Z1 with Z2 for S22
and S21.


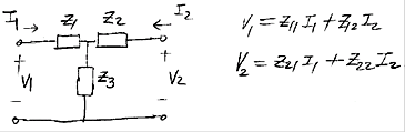
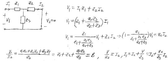
3.4 Find
the impedance matrix of the above circuit.
(Answer)



Change Z1 with Z2 for Z22
and Z21.


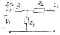
3.5 Find
the ABCD matrix of the above circuit.
(Answer)





