Lab: Microstrip Line Design
1. ÀÌ·Ð
1.1 ¸¶ÀÌÅ©·Î½ºÆ®¸³ ¼±·Î
- µÎ²² h = 0.2-1.0mmÀÇ Á¢Áö¸éÀÌ ÀÖ´Â Àμâȸ·Î ±âÆÇ À§¿¡ Æø w (= 0.1-4 h)ÀÇ µµÃ¼ ½ºÆ®¸³À» »ý¼ºÇÏ°í µµÃ¼ ½ºÆ®¸³°ú Á¢Áö¸é »çÀÌ¿¡ ½ÅÈ£¸¦ Àΰ¡ÇÏ´Â Àü¼Û¼±ÀÇ ÀÏÁ¾.
- DC¿¡¼ºÎÅÍ ¹Ð¸®¹ÌÅÍÆÄ(30-300 GHz), Å×¶óÇ츣Ã÷(> 1THz)±îÁö »ç¿ëÇÏ´Â Àü¼Û¼±. ¹ÝµµÃ¼ ³»ºÎ¿¡¼µµ »ç¿ëµÈ´Ù.

±×¸²: ÀúÁÖÆÄ È¸·Î¿¡¼ÀÇ ¸¶ÀÌÅ©·Î½ºÆ®¸³ ¼±·Î

±×¸²: °íÁÖÆÄ È¸·Î¿¡¼ÀÇ ¸¶ÀÌÅ©·Î½ºÆ®¸³ ¼±·Î
1.2 ¸¶ÀÌÅ©·Î½ºÆ®¸³ ¼±·ÎÀÇ ±¸Á¶

±¸¼ºÇ°: ½ºÆ®¸³, À¯Àüü ±âÆÇ, Á¢Áö¸é
1.3 ÀüÀÚ±âÀå/Àü·ù ºÐÆ÷
- Àü±âÀå/ÀÚ±âÀå ºÐÆ÷

- Àü·ù¹Ðµµ ºÐÆ÷: Àü·ù´Â Ãà¹æÇâÀ¸·Î È帧.

1.4 ÇØ¼® °ø½Ä
- ¿Â¶óÀÎ ¼³°è Åø: http://qucs.sourceforge.net/tech/node75.html#SECTION001213100000000000000
- ¸¶ÀÌÅ©·Î½ºÆ®¸³ ¼±·Î¸¦ »ç¿ëÇϱâ À§ÇØ Æ¯¼º ÀÓÇÇ´ø½º¿Í À¯È¿ À¯Àü»ó¼ö¸¦ °áÁ¤ÇØ¾ß ÇÑ´Ù.
- Ư¼º ÀÓÇÇ´ø½º: Ư¼º ÀÓÇÇ´ø½º¿Í ºÎÇÏ ÀÓÇÇ´ø½º¸¦ ÀÏÄ¡½ÃÄÑ¾ß ºÎÇÏ¿¡¼ Àü·ÂÀÌ ¹Ý»çµÇÁö ¾Ê´Â´Ù.
Bahl(77)
°ø½Ä:


- À¯È¿ À¯Àü»ó¼ö: À¯È¿ À¯Àü »ó¼ö´Â ¼±·Î»óÀÇ ÆÄÀåÀ» °áÁ¤ÇÑ´Ù.
: ¼±·Î»óÀÇ ÆÄÀå
: ÀÚÀ¯°ø°£ ÆÄÀå
Bahl(77) °ø½Ä


- ½ºÆ®¸³ µÎ²² ¿µÇâ: ´ÙÀ½ °ø½ÄÀÇ °ª ¸¸Å ½ºÆ®¸³ Æø Áõ°¡½ÃŲ ÈÄ °ø½Ä¿¡ ´ëÀÔ
(Ư¼º ÀÓÇÇ´ø½º º¸Á¤ ½Ã)
(À¯È¿ À¯Àü»ó¼ö º¸Á¤ ½Ã)

Âü°í¹®Çå: Shih(89)


Âü°í¹®Çå: Chang(90)
Âü°í¹®Çå: Wu, "Microwae filter
design"
Âü°í¹®Çå: Hartley, "RF/Microwave PC
board design and layout"
5) Á֯ļö Ư¼º ¹× °¨¼è
Âü°í À¥: https://www.ecse.rpi.edu/frisc/theses/LWangThesis-MS/LWangThesis.html
- Á֯ļö ¿µÇâ:
À§ ½ÄÀº ÀúÁÖÆÄ¿¡¼ Àû¿ëµÇ´Â °ø½ÄÀ̸ç Á֯ļö°¡ Áõ°¡ÇÔ¿¡ µû¶ó À¯È¿ À¯Àü»ó¼ö´Â Áõ°¡ÇÏ°í Æ¯¼º ÀÓÇÇ´ø½º´Â °¨¼ÒÇÑ´Ù.


- ¼Õ½Ç(°¨¼è)

- °¨¼è: Thompson(IEEE, T-MTT,
52(4), pp.1343-)
±âÆÇ = LCP (liquid crystal polymer), À¯Àü»ó¼ö 3.15, ¼Õ½ÇźÁ¨Æ® 0.005, µÎ²² 2-5mil (0.0508-0.127 mm)
Ư¼º ÀÓÇÇ´ø½º = 50¥Ø

»ó¿ë LCP ±âÆÇ/Àç·á: Rogers R/flex¢ç 3000, Sovay XYDAR¢ç LCP, RTP
Compounds LCP, DuPont Zenite¢ç, Ticona Vectra¢ç.
2. ½Ç½À
±âÆÇ: FR-4, À¯Àü»ó¼ö 4.3, ¼Õ½ÇźÁ¨Æ® 0.02, À¯Àüü µÎ²² 1.0mm, µµÃ¼(½ºÆ®¸³, Á¢Áö) µÎ²² 0.034mm
ÇØ¼® Á֯ļö: 0.5-5.5GHz
2.1 ¸¶ÀÌÅ©·Î½ºÆ®¸³ 90-degree bend ¼³°è
1) ÀÌ·Ð
- º¥µå: ¹æÇâÀ» ¹Ù²Ù±â À§ÇØ ¸¶ÀÌÅ©·Î½ºÆ®¸³ ¼±·Î¸¦ ±¸ºÎ¸° ±¸Á¶
- 90µµ º¥µå: 90µµ ²©ÀÎ ¼±·Î
- Chamfering (= mitering): ²©ÀÌ´Â ºÎÀ§ÀÇ ¸ð¼¸®¸¦ ÀûÀýÈ÷ Á¦°ÅÇÏ¿© ¹Ý»ç°è¼ö°¡ ÃÖ¼Ò°¡ µÇ°Ô ÇÏ´Â ÀÛ¾÷


Âü°í¹®Çå: Simberian(08)
- µî°¡È¸·Î

- Microwave Studio¿¡¼ ¸¶ÀÌÅ©·Î½ºÆ®¸³ ¼±·Î ÇØ¼®½Ã wave portÀÇ Å©±â

2) ½Ç½À
H = 30mm

1) ¼±·ÎÀÇ Æ¯¼º ÀÓÇÇ´ø½º°¡ 50¥ØÀÌ µÇµµ·Ï w¸¦ °áÁ¤Ç϶ó.
W = (
)mm
2) MWSÀÇ parameter sweep ±â´ÉÀ» ÀÌ¿ëÇϰųª ¼öµ¿À¸·Î Á֯ļö 0.1-10.1GHz ¹üÀ§¿¡¼ ¹Ý»ç°è¼ö°¡ ÃÖ¼Ò°¡ µÇµµ·Ï ¸ð¼¸® Á¦°Å Ä¡¼ö C¸¦ °áÁ¤Ç϶ó.
C = (
)mm
3) ¹Ý»ç°è¼ö°¡ ÃÖ¼ÒÀÎ °æ¿ì MWS ÇØ¼® °á°ú
|S11|(dB):
¼öÁ÷Ãà -40dB ºÎÅÍ 0dB ¹üÀ§
|S21|(dB):
¼öÁ÷Ãà -4dB ºÎÅÍ 0dB ¹üÀ§
¸¦ µµ½ÃÇ϶ó. ±ÛÀÚ Å©±â, ±×·¡ÇÁ ¼± ±½±â¸¦ Á¶Á¤ ÈÄ º¸°í¼¿¡ »ðÀÔÇ϶ó.
2.2 T-Á¢ÇÕ Àü·Â ºÐ¹è±â ¼³°è
1) ÀÌ·Ð
- ±¸Á¶
- µî°¡È¸·Î: ¼±·Î°¡ º´·Ä ¿¬°á. Mitering¿¡ ÀÇÇØ jB ÃÖ¼ÒÈ

- ¼³°è °ø½Ä:


Âü°í¹®Çå: Chuang(14), Substrate: RO4003, ¥år
= 3.38, h = 0.813mm
2) ½Ç½À
H = 30mm

1)
Z1 = 25¥Ø, Z2 = Z3 = 50¥Ø°¡ µÇ°Ô W1, W2, W3¸¦ °áÁ¤Ç϶ó.
W1 = (
)mm
W2 = W3 = (
)mm
2) Z1ÀÇ ÀԷ´ܿ¡¼ÀÇ ¹Ý»ç°è¼ö°¡ ÃÖ¼Ò°¡ µÇµµ·Ï T-Á¢ÇÕ Á¦°ÅºÎ Ä¡¼ö a, b¸¦ °áÁ¤Ç϶ó.
a = (
)mm
b = (
)mm
3) ¹Ý»ç°è¼ö°¡ ÃÖ¼ÒÀÎ °æ¿ì
|S11|(dB):
¼öÁ÷Ãà -40dB ºÎÅÍ 0dB ¹üÀ§
|S21|(dB):
¼öÁ÷Ãà -4dB ºÎÅÍ 0dB ¹üÀ§
¸¦ µµ½ÃÇ϶ó. ±ÛÀÚ Å©±â, ±×·¡ÇÁ ¼± ±½±â¸¦ Á¶Á¤ ÈÄ º¸°í¼¿¡ »ðÀÔÇ϶ó.
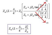
2.3 Quarter-wave transformer ¼³°è
1) ÀÌ·Ð
- ¼³°è °ø½Ä


- ¼³°è ¿¹:
±âÆÇ: FR-4, À¯Àü»ó¼ö 4.3, À¯Àüü µÎ²² 1.2mm, µµÃ¼ µÎ²² 0.035mm
Z0 = 50 ¥Ø (w1
= 2.35mm), RL = 100¥Ø, Z1 = 70.7¥Ø (w2 = 1.23mm), L = ¥ë/4
at 1GHz = 41.84mm


¹Ý»ç°è¼ö°¡ -20dB ÀÌÇÏÀÎ Á֯ļö ´ë¿ªÆø 350MHz (35%)
2) ½Ç½À
H = 30mm

1) 2.5GHz¿¡¼ ÀÓÇÇ´ø½º Á¤ÇÕÀÌ µÇµµ·Ï LÀ» ±¸Ç϶ó.
L = (
)mm
2) W1,
W0, W2¸¦ ±¸Ç϶ó.
W1 = (
)mm
W0 = (
)mm
W2 = (
)mm
3)
|S11|(dB):
¼öÁ÷Ãà -40dB ºÎÅÍ 0dB ¹üÀ§
|S22|(dB):
¼öÁ÷Ãà -40dB ºÎÅÍ 0dB ¹üÀ§
|S21|(dB):
¼öÁ÷Ãà -4dB ºÎÅÍ 0dB ¹üÀ§
¸¦ µµ½ÃÇ϶ó. ±ÛÀÚ Å©±â, ±×·¡ÇÁ ¼± ±½±â¸¦ Á¶Á¤ ÈÄ º¸°í¼¿¡ »ðÀÔÇ϶ó.