Microwave
Engineering Problems and Solutions for Lectures in Week 9 to Week 13
Week 9:
Capacitor equivalent circuit

Neglect R2 and R1. Find
the self-resonante frequency f.
(Answer)
![]()
Week 10:
Inductor equivalent circuit
R
= 20 ¥Ø, L = 3.5 ¥ìH, C = 0.7 pF
1) Calculate
the self-resonant frequency f0
neglecting R.
2) Find the
impedance Z at 0.2f0 and 5f0 including R.
(Answer)
1)
![]()
2)
![]()
Week 11:
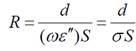
1.
Parallel-plate capacitor
S= 1 cm2, d = 0.1cm, f = 1 MHz, ¥å' = 3¥å0, ¥å'' = 0.001¥å'
Find the values
of C and R

(Answer)

![]()
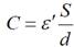
2. Solenoid
inductor
S= 1 cm2, d = 0.1 cm, f = 1 MHz, ¥ì' = 3¥ì0, ¥ì'' = 0.001¥ì'
Find the values
of R and L.
![]()
(Answer)

3. Find the
conductor loss power density pc,
dielectric loss power density pd,
and dielectric stored power density we
in a medium with
¥å' = 3¥å0, ¥å'' = 0.001¥å', ¥ò = 100, | E | = 10 V/m, f = 100 MHz
(Answer)
![]()
4. Find the magnetic loss power density pm,
and magnetic stored power density wm
in a medium with
¥ì' = 3¥ì0, ¥ì'' = 0.001¥ì', | H | = 10 A/m, f = 100 MHz
(Answer)
![]()
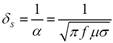
5. Planewave
¥å = 9¥å0, ¥ì = ¥ì0, f = 100 MHz
Find the
intrinsic impedance ¥ç, propagation
constant k, and wavelength ¥ë.
(Answer)
![]()
![]()
Week 12:
1. Planewave in
lossy media
¥å' = 4¥å0, ¥å'' = 0.1¥å', ¥ì' = 9¥ì0, ¥ì''= 0, f = 3 GHz
1) Find the
attenuation constant ¥á, propagation
constant ¥â, and skin depth ¥äs.
2) Write a Python code
and show the execution result.
(Answer)


![]()
2) Omitted
2. Surface impedance
¥ì = ¥ì0, f = 3 GHz, ¥ò = 107 S/m
Find the
surface impedance Zs.
(Answer)
![]()
![]()
Week 13:
1. Planewave reflection
and transmission, normal incidence
¥å1 = ¥å0, ¥å2=4¥å0, ¥ì1
= ¥ì2 = ¥ì0
Find the reflection
coefficient ¥Ã and transmission coefficient ¥ó.
(Answer)

![]()